金全有2026055期福彩3D分析
先回顾一下上期开奖情况。

上期开出217,和尾为0,跨度为6,奇偶比为2:1,大小比为1:2,012路个数对比为0:2:1。
近期回顾:
第2026053期福彩3D分析文章,5码定位命中755,二胆命中5。
第2026051期福彩3D分析文章,3胆命中302,5码复式命中302,单注320。
第2026048期福彩3D分析文章,5码定位命中612,百位个位胆码命中62,6码复式命中612。
第2026042期福彩3D分析文章,5码定位复式均命中854,百位十位胆码命中。
第2026035期福彩3D分析文章,5码复式命中213。
第2026034期福彩3D分析文章,5码复式命中052,百位个位胆码命中。
第2026032期福彩3D分析文章,5码复式命中452。
一、通过和值走势分析:

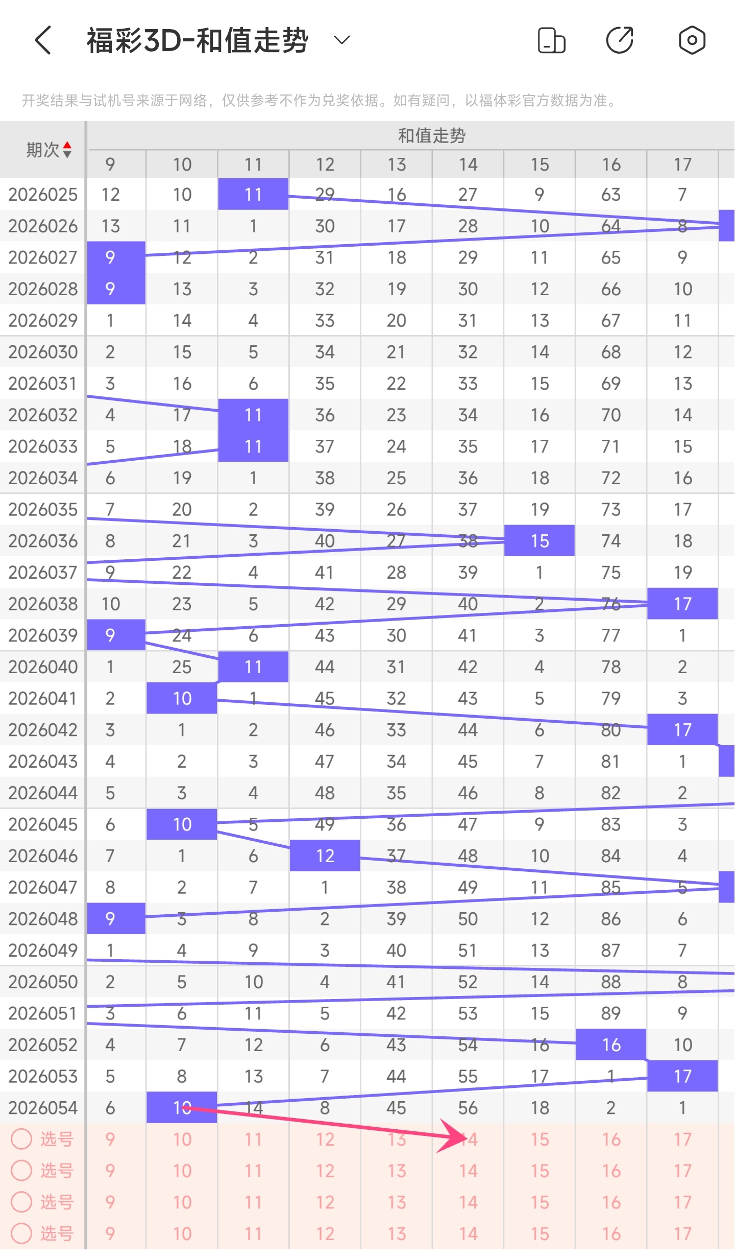
上期和值是10,往前一期和值是17。和值往左移动,偏移振幅为7。10和值是处于近30期内开出比较小的和值。上升的空间比较大,下降的空间比较小,本期比较看好和值变大,所以推测本期趋势是大概率变往左右的,和值变大,小概率往左,和值变小。
二、通过类型走势分析:

上期开出了组六类型,往前一期是组三类型。理论上开出组六的概率是72%,开出组三的概率是27%,开出豹子的概率是1%。通过分析目前30期内已经开出的概率,组六概率为76.66%,开出组三概率是23.33%。开出豹子的概率为0%。与前一期相比,组六概率变大,组三概率变小。通过走势图可以看到上期开了组六,本期还是看好组六。所以推测本期大概率开组六,小概率开组三。
三、通过奇偶走势分析:

上期开了2奇1偶的情况,往前一期开出的是全奇。从组合数学理论上来讲,开出2奇1偶和1奇2偶的概率都为37.5%,开出全偶和全奇的概率为12.5%。通过分析目前30期内的数据。本期的开出全偶的概率是3.33%,开出全奇的概率为6.66%,开出1奇2偶的概率为50%,开出2奇1偶的概率是40%。和前一期相比,2奇1偶概率变大,全奇概率变小。通过走势图分析,上期开了2奇1偶,本期看好1奇2偶。所以本期推测可能开1奇2偶,其次是2奇1偶,然后是全奇或者全偶类型。
四、通过定位分析:

百位:
上期百位开出了2号球。前一期开出的是7号,趋势往左移动,偏移量为5,振幅为5。通过分析走势图,可以看到目前趋势是大概率往右,小概率继续往左。从偏移量来看,上期偏移量没有变,推测本期有可能变小,所以本期关注小偏移量的号码,其次防一下变大。最后再结合冷热号和遗漏期数,我们可以关注0,3,4,5,8等号码。综上所述本期我们推测有可能会开出0,3,4,5,8等数字。
十位:
上期十位开出了1号球。往前一期开出的是5号球,趋势往左移动,偏移了4个点,振幅为4。通过分析走势图,可以看到目前趋势是明显往右的了。从偏移量来看,本期偏移量有可能稍微变小一点,所以本期关注中小偏移量的号码。最后再结合遗漏期数和冷热号,我们可以关注2,3,4,5,6。综上所述本期有可能开出2,3,4,5,6等数。
个位:
上期个位开出了7号球。往前一期开出5号球,趋势往右移动,偏移了2个点,振幅为2。通过分析走势图,目前的趋势是大概率往左,小概率继续往右。从偏移量来看,本期偏移量有可能变大,所以本期我们关注中大偏移量的号码,其次防继续变小。最后结合遗漏期数和冷热号。我们可以关注1,2,3,4,8等号。综上所述本期有可能开1,2,3,4,8等数。
五、总结:
百位推荐:0,3,4,5,8。
十位推荐:2,3,4,5,6。
个位推荐:1,2,3,4,8。
百位3胆:(会员解锁)
十位3胆:(会员解锁)
个位3胆:(会员解锁)
百位杀号:6。
十位杀号:8。
个位杀号:9。
三胆:(会员解锁)
双胆:(会员解锁)
金胆:(会员解锁)
七码复式:1234568
六码复式:(会员解锁)
五码复式:(会员解锁)
四码复式:(会员解锁)
30码推荐:(会员解锁)
我是金全有,以上观点仅供参考,如有不如意,望请海涵,担待。祝各位观众老爷,全中,多发,旺旺旺,也希望和老金名字一样,金子全都有。可以的话观众老爷能点个关注和赞,有能力的朋友可以点个小打赏。创作不易,您的点赞,关注和打赏是我最大的创作动力,感谢老板们!


