关于2025279期福彩3D分析
先回顾一下上期情况开奖情况。

上期开出629,和尾为17,跨度为7,奇偶比为1:2,大小比为2:1,012路个数对比为2:0:1。
近期回顾:
第2025262期福彩3D分析文章中百十个位数3个号码推荐正确。
第2025264期福彩3D分析文章中十个位数2个号码推荐正确。
第2025265期福彩3D分析文章中百十个位数3个号码推荐正确,命中组选。
第2025268期福彩3D分析文章中百个位数2个号码推荐正确。
第2025269期福彩3D分析文章中百十个位数3个号码推荐正确。
第2025273期福彩3D分析文章中十个位数2个号码推荐正确。
第2025276期福彩3D分析文章中十个位数2个号码推荐正确,20注命中组选714。
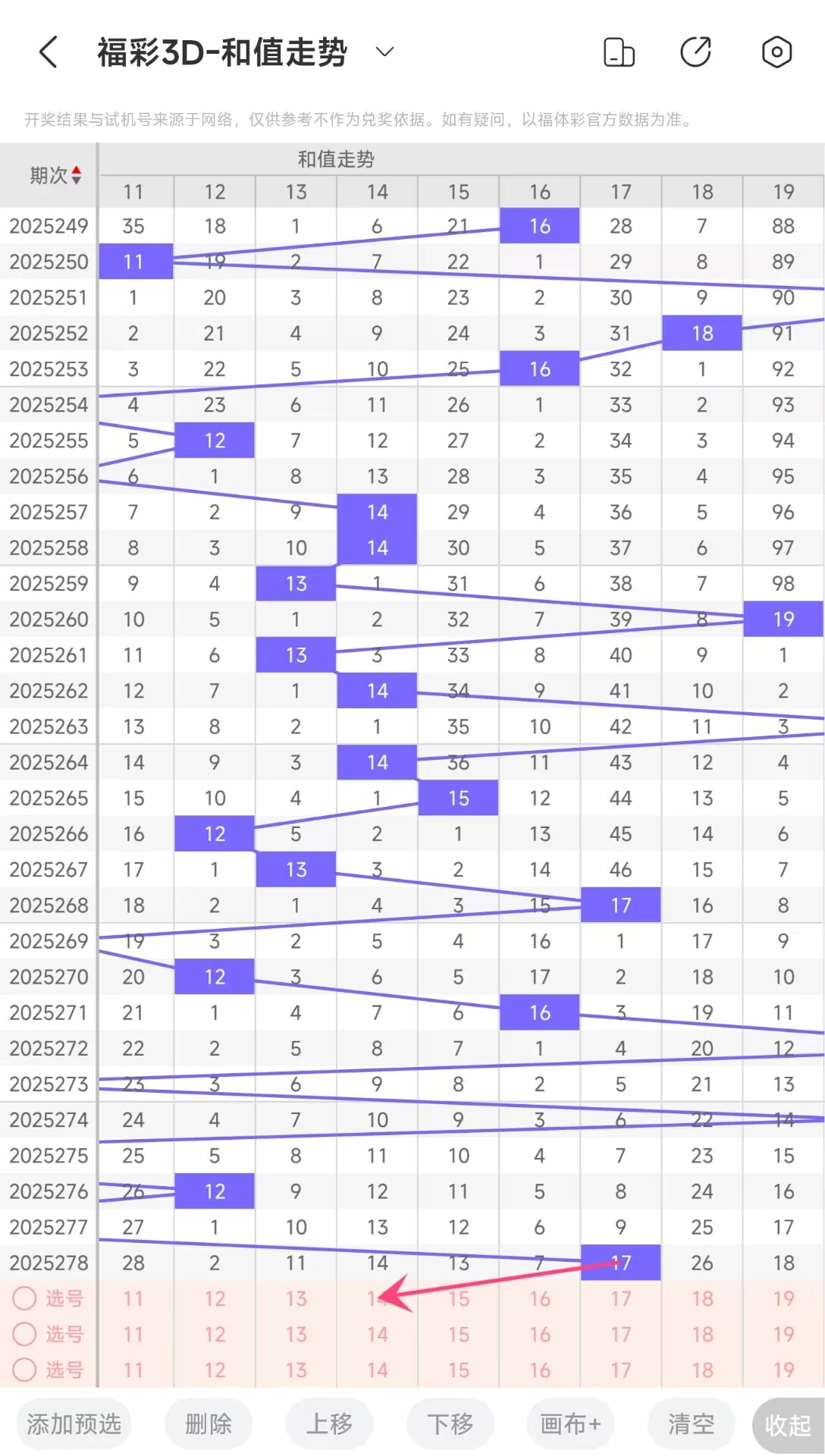
一、通过和值走势分析:

上期和值是17,往前一期和值是7。和值往右移动,偏移振幅为10。17和值是处于近30期内开出的属于中间偏大的和值。下降的空间是比上升的空间要大一点。因此推测本期和值趋势是大概率往左的,和值变小,小概率继续往右,和值变大。
二、通过类型走势分析:

上期开出了组六类型,往前一期是组六类型。理论上开出组六的概率是72%,开出组三的概率是27%,开出豹子的概率是1%。通过分析目前30期内已经开出的概率,组六概率为80%,开出组三概率是20%。开出豹子的概率为0%。与前一期相比,概率没有发生变化。通过走势图可以看到组六连出的概率是比较大的,近30期内最高连出为6期,目前是7期,组六是目前最热门的类型,继续开出组六的概率还是比较大的,但本期也有可能开出组三。所以本期我们推测大概率继续开组六,小概率开组三。
三、通过奇偶走势分析:

上期开了1奇2偶的情况,往前一期开出的是1奇2偶。从组合数学理论上来讲,开出2奇1偶和1奇2偶的概率都为37.5%,开出全偶和全奇的概率为12.5%。通过分析目前30期内的数据。本期的开出全偶的概率是20%,开出全奇的概率为13.33%,开出1奇2偶的概率为30%,开出2奇1偶的概率是36.66%。和前一期相比概率没有发生变化。通过走势图可以看到1奇2偶和2奇1偶的概率已经比较接近,所以本期有可能开1奇2偶也有可能开2奇1偶。所以本期推测是可能继续开1奇2偶或者2奇1偶,然后是全偶或者全奇类型。
四、通过定位分析:
百位:

上期百位开出了06号球。前一期开出的是0号,趋势是往右移动,偏移量为6,振幅为6。通过分析走势图,目前的趋势是大概率往左,小概率往右。通过走势图可以看到最近2期走势都是比较陡的,偏移量比较大,本期可以主要关注中大偏移量的号码。然后再结合冷热号和遗漏期数,本期我们可以关注01,02,04,05,08等号码。综上所述本期我们推测有可能会开出01,02,04,05,08等数字。
十位:

上期十位开出了02号球。往前一期开出的是06号球,趋势是往左移动,偏移了4个点,振幅为4。通过分析走势图,可以看到近几期开出的号码大多数都是偏移量比较大的号码,所以本期可以重点关注中大偏移量的号码,再防一下小偏移量的号码。再结合遗漏期数和冷热号,我们可以关注01,04,06,08和09号球。综上所述本期有可能开出01,04,06,08,09等数。
个位:

上期个位开出了09号球。往前一期开出01号球,趋势是往右移动,偏移了8个点,振幅为8。通过分析走势图,目前趋势是比较明显往左的了,上期偏移量是很大的,本期可能继续比较大,但也可能变小。所以本期关注的号码可以均匀关注一下。然后再结合遗漏期数和冷热号。我们可以关注01,03,05,06,07等号。综上所述本期有可能开01,03,05,06,07等数。
五、总结:
百位推荐:01,02,04,05,08。
十位推荐:01,04,06,08,09。
个位推荐:01,03,05,06,07。
百位3胆:01,04,08。
十位3胆:01,04,08。
个位3胆:01,03,07。
百位杀号:0。
十位杀号:03。
个位杀号:02。
七码复式:1245689。
六码复式:124589。
五码复式:12458。
20码推荐:141, 243, 465, 487, 519, 161, 285, 496, 418, 549, 181, 294,515, 446, 568, 191, 267, 585, 489, 516。

我是金全有,以上观点仅供参考,如有不如意,望请海涵,担待。祝各位观众老爷,全中,多发,旺旺旺,也希望和老金名字一样,金子全都有。可以的话观众老爷能点个关注和赞,有能力的朋友可以点个小打赏。创作不易,您的点赞,关注和打赏是我最大的创作动力,感谢老板们!


